《高分子物理》课程
课程编号:432026
实验指导书
主撰人:罗飞
审核人:刘鑫
化学与材料科学系
二O一二年六月
目录
实验一、 |
偏光显微镜法观察聚合物球晶………………………………… |
4 |
实验二、 |
密度法测定聚合物结晶度……………………………………… |
7 |
实验三、 |
膨胀计法测定玻璃化温度……………………………………… |
9 |
实验四、 |
聚合物熔体流动速率的测定…………………………………… |
12 |
实验五、 |
粘度法测定聚合物的分子量…………………………………… |
16 |
实验六、 |
聚甲基丙烯酸甲酯温度—形变曲线的测定…………………… |
24 |
实验七、 |
热变形温度及维卡软化点的测定……………………………… |
26 |
实验八、 |
氧指数测定……………………………………………………… |
30 |
| |
|
|
| |
|
|
| |
|
|
| |
|
|
| |
|
|
| |
|
|
| |
|
|
| |
|
|
实验一、偏光显微镜法观察聚合物球晶...4
实验二、密度法测定聚合物结晶度...7
实验三、膨胀计法测定玻璃化温度...9
实验四、聚合物熔体流动速率的测定...12
实验五、粘度法测定聚合物的分子量...16
实验六、聚甲基丙烯酸甲酯温度—形变曲线的测定...24
实验七、热变形温度及维卡软化点的测定...26
实验八、氧指数测定...30
前言
1. 实验总体目标
研究聚合物的结构、形态与性能,为高分子合成控制目标,并为高分子成型加工和材料选用提供依据。使学生通过实验理解、掌握高分子物理知识中的基本概念和基本原理,使学生熟悉高分子物理的实验方法,初步掌握一些基本的高分子物理实验操作和实验技能,提高分析问题和解决实际问题的能力。
⒉适用专业年级
材料化学专业10级高分子方向
⒊实验课时分配
实验项目 |
实验 要求 |
实验 类型 |
每组 人数 |
实验 学时 |
实验一、偏光显微镜法观察聚合物球晶 |
必做 |
设计 |
4~6 |
6 |
实验二、密度法测定聚合物结晶度 |
必做 |
设计 |
4~6 |
5 |
实验三、膨胀计法测定玻璃化温度 |
选做 |
设计 |
4~6 |
5 |
实验四、聚合物熔体流动速率的测定 |
必做 |
验证 |
4~6 |
5 |
实验五、粘度法测定聚合物的分子量 |
必做 |
验证 |
4~6 |
6 |
实验六、聚甲基丙烯酸甲酯温度-形变曲线的测定 |
必做 |
验证 |
4~6 |
5 |
实验七、热变形温度及维卡软化点的测定 |
选做 |
验证 |
4~6 |
5 |
实验八、氧指数测定 |
选做 |
设计 |
4~6 |
5 |
4.实验总体要求
进一步加深理解高分子物理的科学原理,掌握高分子物理常用的一些研究方法和实验技能,培养聚合物结构与性能研究的能力、创新能力,学会独立分析问题和解决问题的方法,养成严谨的科学态度、思维方法和实际动手能力。
实验一、偏光显微镜法观察聚合物球晶
一、实验目的
1.熟悉偏光显微镜的构造,掌握偏光显微镜的使用方法。
2.观察不同结晶温度下得到的球晶的形态,估算聚丙烯球晶大小。
3.测定聚丙烯在不同结晶度下晶体的熔点。
4.测定25℃下聚丙烯的球晶生长速度。
二、实验原理
聚合物的结晶受外界条件影响很大,而结晶聚合物的性能与其结晶形态等有密切的关系,所以对聚合物的结晶形态研究有着很重要的意义。聚合物在不同条件下形成不同的结晶,比如单晶、球晶、纤维晶等等,而其中球晶是聚合物结晶时最常见的一种形式。球晶可以长得比较大,直径甚至可以达到厘米数量级.球晶是从一个晶核在三维方向上一齐向外生长而形成的径向对称的结构,由于是各向异性的,就会产生双折射的性质。聚合物球晶在偏光显微镜的正交偏振片之间呈现出特有的黑十字消光图形,因此,普通的偏光显微镜就可以对球晶进行观察。
偏光显微镜的最佳分辨率为200 nm,有效放大倍数超过100—630倍,与电子显微镜、x射线衍射法结合可提供较全面的晶体结构信息。
球晶的基本结构单元是具有折叠链结构的片晶,球晶是从一个中心(晶核)在三维方向上一齐向外生长晶体而形成的径向对称的结构,即—个球状聚集体。光是电磁波,也就是横波,它的传播方向与振动方向垂直。但对于自然光来说,它的振动方向均匀分布,没有任何方向占优势。但是自然光通过反射、折射或选择吸收后,可以转变为只在一个方向上振动的光波,即偏振光。—束自然光经过两片偏振片,如果两个偏振轴相互垂直,光线就无法通过了。光波在各向异性介质中传播时,其传播速度随振动方向不同而变化。折射率值也随之改变,一般都发生双折射,分解成振动方向相互垂直、传播速度不同、折射率不同的两条偏振光。而这两束偏振光通过第二个偏振片时。只有在与第二偏振轴平行方向的光线可以通过。而通过的两束光由于光程差将会发生干涉现象。
在正交偏光显微镜下观察,非晶体聚合物因为其各向同性,没有发生双折射现象,光线被正交的偏振镜阻碍,视场黑暗。球晶会呈现出特有的黑十字消光现象,黑十字的两臂分别平行于两偏振轴的方向。而除了偏振片的振动方向外,其余部分就出现了因折射而产生的光亮。在偏振光条件下,还可以观察晶体的形态,测定晶粒大小和研究晶体的多色性等等。
三、实验仪器和材料
1.偏光显微镜及电脑一台、附件一盒、擦镜纸、镊子;
2.热台、恒温水浴、电炉。
3.盖玻片、裁玻片。
4.聚丙烯薄膜。
四、实验步骤
1.启动电脑,打开显微镜摄像程序AVerMedia EZCapture.
2.显徽镜调整
(1)预先打开汞弧灯10min,以获得稳定的光强,插入单色滤波片。
(2)去掉显微镜目镜,起偏片和检偏片置于90°,边观察显微镜筒,边调节灯和反光镜的位置,如需要可调整检偏片以获得完全消光(视野尽可能暗)。
3.聚丙烯的结晶形态观察
(1)切一小块聚丙烯薄膜,放于干净的载破片上,使之离开玻片边缘,在试样上盖上一块盖玻片。
(2)预先把电热板加热到200℃,将聚丙烯样品在电热板上熔融,然后迅速转移到50℃的热台使之结晶,在偏光显微镜下观察球晶体,观察黑十字消光及干涉色。
(3)拉开摄像杆,微调至在屏幕上观察到清晰球晶体,保存图象,把同样的样品在熔融后于100℃和0℃条件下结晶,分别在电脑上保存清晰的图案。
3.聚丙烯球晶尺寸的测定
测定聚合物球晶体大小。聚合物晶体薄片放在正交显微镜下观察,用显微镜目镜分度尺测量球晶直径,测定步骤如下;
(1)将带有分度尺的目镜插入镜筒内,将载物台显微尺置于载物台上,使视区内同时见两尺。
(2)调节焦距使两尺平行排列、刻度清楚。并使两零点相互重合,即可算出目镜分度尺的值。
(3)取走载物台显微尺,将预测之样品置于载物台视域中心,观察并记录晶形,读出球晶在目镜分度尺上的刻度,即可算出球晶直径大小。
4.球晶生长速度的测定
(1)将聚丙烯样品在200度下熔融,然后迅速放在25度的热台上,每隔10min把球晶的形态保存下来、直到球晶的大小不再变化为止。
(2)对照照片,测量出不同时间球晶的大小,用球晶半径对时间作图,得到球晶生长速度。
5.测定在不同温度下结晶的聚丙烯晶体的熔点
(1)预先把电热板调节到200℃,使聚丙烯充分熔融,然后分别在20℃、25℃、30℃下结晶。每个结晶样品置于偏光显微镜的热台上加热,观察黑十字开始消失的温度、消失一半的温度和全部消失的温度,记下这三个熔融温度。
(2)实验完毕,关掉热台的电源,从显微镜上取下热台。
(3)关闭汞弧灯。
1仪器底座 2视场光阑 3粗动调焦 手轮 4微动调焦手轮 5起偏器 6聚光镜 7旋转工作台 8物镜 9检偏器
|
|

偏光显微镜结构示意图
五、思考题
1.聚合物结晶过程有何特点?形态特征如何(包括球晶大小和分布、球晶的边界、球晶的颜色等)结晶温度对球晶形态有何影响?
2.利用晶体光学原理解释正交偏光系统下聚合物球晶的黑十字消光现象。
实验二、密度法测定聚合物结晶度
一、实验目的
1.学习密度法测定聚合物结晶度的原理和方法。
2.区别和理解用体积百分数和重量百分数表示的结晶度。
3.掌握比重瓶的正确使用方法。
二、实验原理
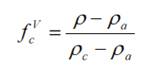
在聚合物的聚集态结构中,分子链排列的有序状态不同,其密度就不同。有序程度愈高,分子堆积愈紧密,聚合物密度就愈大,或者说比容愈小。聚合物在结晶时,分子链在晶体中作有序密堆积,使晶区的密度ρc高于非晶区的密度ρa。如果采用两相结构模型,即假定结晶聚合物由晶区和非晶区两部分组成,且聚合物晶区密度与非晶区密度具有线性加和性,则:
进而可得:
若假定晶区和非晶区的比容具有加和性,则:

得:

式中:
ρ,ρc,ρa分别为聚合物、晶区和非晶区的密度;
υ,υc,υa分别为聚合物、晶区和非晶区的比容;
fcV:用体积百分数表示的结晶度;
fcW:用重量百分数表示的结晶度。
若已知聚合物试样完全结晶体的密度ρc和聚合物试样完全非结晶体的密度ρa,只要测定聚合物试样的密度ρ,即可求得其结晶度。
本实验采用悬浮法,测定聚合物试样的密度,即在恒温条件下,在加有聚合物试样的试管中,调节能完全互溶的两种液体的比例,待聚合物试样不沉也不浮,而是悬浮在混合液体中部时,根据阿基米德定律可知,此时混合液体的密度与聚合物试样的密度相等,用比重瓶测定该混合液体的密度,即可得聚合物试样的密度。
三、实验仪器与材料
1.25 ml比重瓶一只;50ml试管一支;玻璃搅拌棒一根;滴管2支;卷筒纸和电子天平。
2.聚乙烯试样A(粒状);聚乙烯试样B(片装);蒸馏水;95%乙醇(CP)。
四、实验步骤
准备工作:筛选聚合物试样;洗净并烘干比重瓶;开启电子天平预热
1.在试管中加入95%乙醇15ml,然后加入一至二粒聚乙烯试样,用滴管加入蒸馏水,同时上下搅拌,使液体混合均匀,直至样品不沉也不浮,悬浮在混合液中部,保持数分钟,此时混合液体的密度即为该聚合物样品的密度。
2.混合液体密度的测定。先用电子天平称得干燥的空比重瓶的重量W0,,然后取下瓶塞,灌满被测混合液体,盖上瓶塞,多余液体从毛细管溢出。然后用卷筒纸擦去溢出的液体,称得装满混合液体后比重瓶的重量W1。之后倒出瓶中液体,用蒸馏水洗涤数次后再装满蒸馏水,擦干瓶体,称得装满蒸馏水后比重瓶的重量W水,若已知实验温度下蒸馏水的密度水ρ水,则混合液体的密度可按下式求得:

3.取另外一只干燥的比重瓶,换一种聚乙烯试样,重复步骤1和2。


实验装置示意图 比重瓶示意图
1瓶塞;2毛细管;3瓶体
注意事项
1.两种液体应充分搅拌均匀。
2.比重瓶的液体要加满,不能有气泡。
3.先称空瓶的重量,再称装满混合液体的重量,最后称装满蒸馏水的重量。
五、实验记录与数据处理
1.计算两种待测样品的密度。
2.从有关手册上查出聚乙烯完全结晶体的密度和完全非晶体的密度,计算两种聚乙烯试样的结晶度。
实验三、膨胀计法测定玻璃化温度
聚合物的玻璃化转变,是玻璃态和高弹态之间的转变。在发生转变的时候,聚合物的许多物理性质发生急剧的变化。
一、实验目的
1.掌握膨胀计法测定聚合物玻璃化温度的方法;
2.了解升温速度对玻璃化温度的影响。
二、实验原理
聚合物的比容是一个和高分子链段运动有关的物理量,它在玻璃化温度(Tg)范围内有不连续的变化,即利用膨胀计测定聚合物的体积随温度的变化时,在Tg处有一个转折。


聚苯乙烯的比容-温度曲线 降温速度对Tg影响
众所周知,玻璃化转变不是热力学平衡过程,而是一个松弛过程,因此Tg值的大小和测试条件有关:在降温测量中,降温速度加快,Tg向高温方向移动。根据自由体积理论,在降温过程中,分子通过链段运动进行位置调整,多余的自由体积腾出并逐渐扩散出去,因此在聚合物冷却、体积收缩是,自由体积也在减少。但是由于粘度因降温而增大,这种位置调整不能及时进行,所以聚合物的实际体积总比该温度下的平衡体积大,表现为比容-温度曲线上在Tg处发生转折。降温速度越快,转折得越早,Tg就偏高。反之,降温速度太慢,则所得偏低以至测不到Tg。一般控制在每分钟1—2℃为宜。升温速度对Tg的影响,也是如此。的大小还和外力有关:单向的外力能促使链段运动,外力越大,Tg降低越多;外力的频率变化引起玻璃化转变点的移动,频率增加则Tg升高,所以膨胀计法比动态法所得的Tg要低一些。
除了外界条件以外,显然Tg值还受到聚合物本身的化学结构影响,同时也受到其它结构因素的影响,例如共聚、交联、增塑以及分子量等。
三、实验仪器与材料
膨胀计 水浴及加热器 温度计(0—250℃)
颗粒状聚苯乙烯 乙二醇 尼龙6颗粒
四、实验步骤
1.洗净膨胀计,烘干。装入聚苯乙烯(尼龙6)颗粒至膨胀管的4/5体积。
2.在膨胀管内加入乙二醇作为介质,用玻璃棒搅动(或抽气)使膨胀管内没有气泡。
3.再加入乙二醇至膨胀管口,插入毛细管,使乙二醇的液面在毛细管下部,磨口接头用弹簧固定,如果发现管内留有气泡必须重装。(为什么?)
4.将装好的膨胀计浸入水浴中,控制水浴升温速度为1℃/分。
5.读取水浴温度和毛细管内乙二醇液面的高度(每升高5℃读一次,在55—80℃之间每升高2℃或1℃读一次),直到90℃为止。
6.将已装好样品的膨胀计经充分冷却后,再在升温速度为2℃/分钟的加热水浴中读取温度和毛细管内液面高度。
7.作毛细管内液面高度对温度的图。从直线外延交点求得两种不同升温速度的聚苯乙烯(尼龙6)的Tg值。
五、思考题
1.Tg的主要影响因素有哪些?是怎么影响的?
2.在测定Tg的过程中要注意那些问题?

实验四、聚合物熔体流动速率的测定
一、实验目的
1.了解聚合物熔体流动速率的意义,以及负荷与剪切应力、熔体流动速率与剪切速率的关系。
2.测定不同负荷下聚乙烯的熔体流动速率,并计算剪切应力、聚乙烯熔体的流动曲线。
3.学习掌握XRN-400AM型熔体流动速率测定仪的使用方法。
二、实验原理
聚合物的剪切粘度(以下简称聚合物的粘度)是它的重要物性指标,与聚合物的加工成型密切相关、在科学研究中,聚合物的粘度可由毛细管挤出流变仪、同轴圆筒粘度计和锥板粘度计精确测定,在不具备上述粘度计时,有时可用小球(如自行车用的小钢珠)在聚合物熔体的自由落下来测定熔体粘度。但在工业上,聚合物熔体的粘度可用熔体指数或熔体流动速率来方便地表征。熔体流动速率是指在一定温度和负荷下,聚合物熔体每10min通过标准口摸的质量,通常用英文缩写MFR(Melt Flow Rate)表示,它是衡量聚合物流动性能的—个重要指标。对于同一种聚合物,在相同的条件下,单位时间内流出量越大,熔体流动速率就越大,说明其平均分子量越低,流动性越好。但对于不同聚合物,由于测定时所规定的条件不同,不能用熔体流动速率的大小来比较它们的流动性。
不同的用途和不同的加工方法,对聚合物的熔体流动速率有不同的要求。一般情况下,注射成型用的聚合物其熔体流动速率较高;挤出成型用的聚合物熔体流动速率较低;吹塑成型的介于两者之间。但熔体流动速率是在给定的切应力下测得的。而在实际加工过程中,聚合物熔体处在一定的剪切速率范围内,因此在生产中经常出现熔体流动速率值相同而牌号不同的同一种聚合物表现出不同的流动行为,而熔体流动速率值不同却有相似的加工性能的现象。
熔体流动速率的测量是在熔体流动速率测定仪上进行的。熔体流动速率测定仪装置相对简单,使用方便,价格也比较低,在聚合物工业中应用很普遍。本质上熔体流动速率测定仪是一种固定压力型的毛细管流变仪,因此可以应用毛细管流变仪的理论对其进行数据处理。
在通常的加工条件下,聚合物熔体的粘度很高,剪切速率一般都小于104s-1,雷诺数很小。聚合物熔体在毛细管中的流动是一种不可压缩的粘性流体的稳定流动。当毛细管两端的压力差为ΔP时,管壁处的剪切应力δr和剪切速率Ý与压力差、熔体流动速率的关系式为:
δr=rΔP/2L
Ý=4Q/πr3
式中r为毛细管的半径,cm;L为毛细管的长度,cm;ΔP为毛细管两端的压力差,Pa;Q为熔体体积流动速率cm3/s。
对于熔体流动速率测定仪,毛细管两端的压力差ΔP和熔体体积流动速率Q分别为:
ΔP=G/πR2, Q=MFR/600d
式中G为实验所加负荷;R为活塞头的半径,cm;MFR为在此负荷下测定的熔体流动速率,g/10 min;d为被测样品的密度,g/cm3。则剪切应力和剪切速率与试验负荷和熔体流动速率分别有如下关系:
δr=rG/2πR2L
Ý=MFR/150πr3d
而表观粘度ηα与熔体流动速率的关系则为:
ηα=δr/Ý=[75r″d/R2L][G/MFR]
由此,利用熔体流动速率测定仪,在恒定温度下测定不同负荷下的聚合物的熔体流动速率,可计算得到相应的剪切应力和剪切速率以及表观粘度,并可绘制出聚合物熔体的流动曲线,由毛细管流变仪和熔体流动速率测定仪测得的聚合物流动曲线基本一致,熔体流动速率测定仪测得的速率范围(10-0.5∽102.5s-1)比流变仪测得的范围(10-1-103/s-1)稍窄。
Ý修正= [(3n+1)/4n]Ý修正
由于绝大多数的聚合物熔体属于非牛顿流体,必须对其流动行为进行非牛顿修正。修正的公式是Rabinnowitsch—Mooney经验式在剪切速率范围不大的情况下,聚合物熔体流动曲线的过渡区近似直线,以此直线的斜率来表征流动的非牛顿性程度,n就称为非牛顿性指数。
由于熔体流动速率测定仪所用的毛细管长径比约为4,远远小于40,其入口效应不可忽略,入口处的流动过程中存在着—个压力降,因此可计算出的剪切应力比实际作用于流体的应力大,出于实际剪切应力的减小与毛细管有效长度的延长是等价的,所以毛细管人口压力降的校正,可假想一段管长(er)加到实际的毛细管长度L上;用(er+L)作为毛细管的总长度;用Δp/(er+L)作为均匀的压力梯度来补偿入口端压力的较大下降,这时真实的剪切应力计算为:
δγ修正=Δp/2(er+L)=1/(1+er/L)δγ
式中r为毛细管的半径;e为与流动速率有关的经验常数,可以通过如下方法测得:在某一剪切速率下,测定不同长径比的标准口模(1.180 mm,2.095mm)压力降ΔP,以ΔP对L/D作曲,得一直线,在L/D轴上的截距即为—e。
入口效应的校正过程比较繁琐,工作量很大。若测试数据仅用于实验对比时,可不做入口校正。
三、实验仪器与材料
电子天平(万分之一)
XNR—400AM熔体流动速率测定仪
主要参数(mm)为:
口模直径 |
2.095±0.005 |
口模长度 |
8.000±0.025 |
料筒直径 |
9.550±0.025 |
料筒长度 |
152±0.1 |
试样:聚苯乙烯粒料
四、实验步骤
本仪器负荷分八级:
3.187N(0.325kg):由活塞杠+砝码托盘+隔热套+1号砝码组成。
11.77N(1.200kg):由活塞杠+砝码托盘+隔热套+1号+2号砝码组成。
21.18N(2.160 kg):由活塞杠+砝码托盘+隔热套+1号+3号砝码组成。
49.03N(5.000kg):由活塞杠+砝码托盘+隔热套+1号+5号砝码组成。
98.07N(10.000kg):由活塞杠+砝码托盘+隔热套+1号+5号+6号砝码组成。
122.58N(12.500kg):由活塞杠+砝码托盘+隔热套+1号+5号+6号+7号砝码组成。
211.82N(21.600kg):由活塞杠+砝码托盘+隔热套+1号+2号+3号+4号+5号+6号+7号砝码组成。
具体步骤:
1.仪器安放平稳,用水平仪调节水平。
2.将标准口模从上端放人料筒底部,并用装料杆将其压到与口模挡板接触为止。
3.打开控制面板上的电源开关,在实验参数页设定温度至190℃,刮料次数设定为7/s,开始升温。实际温度达到设定值后,恒温15min。
4.带上手套,取出活塞杆,将事先准备好的试样4g加入料筒。试样经压料杆压实后插入活塞、此操作需在1min内完成。
5.加49.03N负荷,预热4min。如果试样的MFR>10,在预热期间可不加或少加负荷.
6.当活塞杆下降到其上的下环形标记与套管的上表面相平时,按“开始”键并将取样盘放到出料口下方。
7.保留连续切取的无气泡样条3-5个,冷却后,测量样条的直径,计算挤出胀大比B。
8.分别称取上述3-5个样条质量,取平均值,在实验主页输入平均值,按“确认”键,仪器自动计算出熔体流动速率值,并在界面主页显示出来。按“打印”键,打印实验报告。称量样条的质量,计算熔体流动速率。并测量样条的直径,计算口模胀大比B。
9.带上手套趁热清理口模与料筒。拉出口模锁板,可使口模从料简下端落下;用口模清理杆清理口模;料筒用料筒清理杆顶端绕棉纱布清理至内壁光洁明亮为止。
10重复步骤3—9,测定负荷11.77N时聚乙烯的熔体流动速率。
11.关机。工具及砝码各归原位,以备下次试验使用。
五、实验记录与数据处理
1.熔体流动速率计算: MFR=600W/T
式中,MFR为熔体流动速率,g/10min;w为样条质量的算术平均值,g;T为切样时间间隔,s, 计算结果取二位有效数字。
2.挤出胀大比B: B=Ds/D
式中,Ds为挤出样条的直径,cm;D为口摸内径,cm。
3.流动曲线的绘制
由不同负荷下测定的聚苯乙烯熔体流动速率值计算出相应的剪切应力和剪切速率,并列入记录表中。同时在双对数坐标纸中绘制剪切应力对剪切速率的曲线。在剪切速率不大的范围内可得一条直线,该直线的斜率即牛顿件指数(n)。
数据记录
编号 |
负荷/kg |
熔体流动速率/(g/10min) |
剪切应力/Pa |
剪切速率/s-1 |
表观粘度/Pa.s |
| |
|
|
|
|
|
| |
|
|
|
|
|
六、思考题
1.聚合物的分子量与其熔体流动速率有什么关系?为什么熔体流动速率不能在结构不同的聚合物之间进行比较?
2.如何利用流动曲线分析聚合物熔体流体的类型?
3.为什么要进行“非牛顿修正”和“入口修正”?
实验五、粘度法测定聚合物的分子量
在所有的聚合物分子量的测定方法中,粘度法尽管是一种相对的方法,但是它仪器设备简单,操作便利,分子量适用范围大,又有相当好的实验精确度,所以成为人们最常用的实验技术。粘度法除了主要用来测定粘均分子量外,还可用来测定溶液中的大分子尺寸,测定聚合物的溶度参数等。
一、实验目的:
1.牢固掌握测定聚合物溶液粘度的实验技术。
2.掌握粘度法测定聚合物分子量的基本原理。
3.测定聚环氧乙烷水溶液的特性粘数,并计算其平均分子量。
二、实验原理:
线性高分子溶液的基本特性之一是粘度比较大,并且其粘度值与平均分子量有关,因此可利用这一特性测定其分子量。
粘度除与分子量有密切关系外,对溶液粘度也有很大的依赖性,故实验中首先要消除浓度对粘度的影响,常以如下两个经验公式表达粘度对浓度的依赖关系。
(1)
(2)
式中 叫做增比粘度,叫做相对粘度,若以 表示溶剂的粘度,表示溶液的粘度,则
(3)
(4)
式(1)和(2)中的c为溶液浓度,和均为常数,显然
[]即是聚合物溶液的特性粘数,和浓度无关,由此可知,若以和分别对c作图外推到的截距应重合于一点,其值等于[]。这也可用来检查实验的可靠性。
| |
|
|
|
| |
|
|
| |
|
|
| |
|
|
对和对关系图
当聚合物的化学组成、溶剂、温度去定后,[]值只和聚合物的分子量有关,常用下式表达这一关系:
(5)
式中K和a为常数,其值和聚合物、溶剂、温度有关,和分子量的范围也有一定的关系。
测定液体粘度的方法,主要可分为三类:(1)液体在毛细管里的流出;(2)圆球在液体里的落下速度;(3)液态在同轴圆柱体间对转动的影响。在测定聚合物的[]时,以毛细管粘度计最为方便。液态在毛细管粘度计内因重力作用的流动,可用下式表示:
(6)
上式右边的第一项是指重力消耗于克服液体的粘性流动,而第二项是指重力的一部分转化为流出液体的动能,此即毛细管测定液体粘度技术中的“动能改正项”。
式中:h为等效平均液柱高;g为重力加速度;R为毛细管半径;l为毛细管长度; V为流出体积;t为流出时间;m为和毛细管两端液体流动有关的常数(近似等于1);为液体的密度
令仪器常数 ,
则式(6)可简化为: (7)
式(7)代入式(3)得: (8)
实验数据表明,下述情况必须考虑动能改正:毛细管半径太粗,溶剂流出时间小于100秒;溶剂的比密粘度()太小,例如丙酮。
由于动能改正对实验操作和数据处理都带来麻烦,所以只要仪器设计得当和溶剂选择合适,往往可忽略动能改正之影响,式(8)简化为:
(9)
又因为聚合物溶液粘度的测定,通常是在极稀的浓度下进行(c<0 .01克/毫升),所以溶液和溶剂的密度近似相等,。由此式(3)、(4)可改写为:
(10)
(11)
式中t、分别为溶液和纯溶剂的流出时间。
把聚合物溶液加以稀释,测不同浓度的溶液的流出时间,通过式(1)、(2)、(10)、(11),经浓度外推求得[]值,再利用式(5)计算粘均分子量,此即谓“外推法”(或稀释法)。
“外推法”至少要测定三个以上不同浓度下的溶液粘度,显得麻烦与费时,何况在某些情况下是不允许的,譬如:急需快速知道结果;样品很少,不便稀释;操作中发生意外,仅得一个浓度的数据等等。这时就要采用“一点法”,即只需测定一个浓度下溶液的粘度,就可以得可靠的特性粘数[]。“一点法”中,首先要借助“外推法”得到式(1)、(2)中的和值,然后在相同实验条件下测一个浓度下溶液的粘度,选择下列公式计算[]值:
若=0.3-0.4, =0.5,(一般指线性柔性高分子-良溶剂体系),则
(12)
若上述条件不符,则先求出=/ 再代入下式:
(13)
三、实验仪器与材料
乌氏粘度计
聚环氧乙烷 正丁醇(A R) 丙酮(A R)
四、实验步骤
1.玻璃仪器的洗涤:粘度计先用经砂芯漏斗滤过的水洗涤,把粘度计毛细管上端小球中存在的沙粒等杂质冲掉。抽气下,将粘度计吹干再用新鲜温热的洗涤液滤入粘度计,满后用小烧杯盖好,防止尘粒落入。浸泡约两个小时后倒出,用自来水(滤过)洗净,经蒸馏水(滤过)冲洗几次,倒挂干燥后待用。其他如容量瓶等也需经无尘洗净干燥。
一般放过聚合物溶液的仪器,应先以溶剂泡洗,洗去聚合物和吹干溶剂等有机物质后,才可用洗液去浸;否则有机物把洗液中的还原,洗液将失效。在用洗液以前,仪器中的水份也必须吹干,不然,水把洗液稀释,去污效果也将大大降低。
2.测定溶剂流出时间:
将恒温槽调节至25(或30)0.1。在粘度计B、C管上小心地接上医用橡皮管,用铁夹夹好粘度计,放入恒温水槽,使毛细管垂直于水面,使水面浸没a线上方的球。用移液管从A管注入10毫升溶剂,恒温十分钟后,用夹子(或用手)夹住C管橡皮管使不通气,而将接在B管的橡皮管用注射器抽气,使溶剂吸至a线上方的球一半时停止抽气。先把注射器拔下,然后放开C管的夹子,空气进入D球,使毛细管内溶剂和A管下端的球分开。这时水平地注视液面的下降,用停表记下液面流经a和b线的时间。此即为。重复三次以上,误差不超过0.2秒。取其平均值作为。然后将溶剂倒出,粘度计烘干。
3.仪器常数A、B的订定。订定的方法通常有三种:
( i ) 用两种标准液体在同一温度下分别测其流出时间;
( ii )用一种标准液体在不同温度下测其流出时间;
本实验选用第(i)法,标准液体选用正丁醇和丙酮,其密度、粘度值如下:
| |
ρ(克/毫升) 25℃ 30℃ |
η(厘泊) 25℃ 30℃ |
丙酮 正丁醇 |
0.7851 0.7793 0.8057 0.8021 |
0.3075 0.2954 2.6390 2.271 |
通过式(7)可得A、B值。
3.溶液的配制:称取聚环氧乙烷0.25至0.35克(准确至0.1毫克),用10-15ml水溶解,移入25毫升容量瓶中,用水洗涤烧杯3-4次,洗液移至容量瓶中,稍稍摇动,置恒温水槽中恒温,用水稀释到刻度,再经砂芯漏斗虑入另一只25毫升无尘干净的容量瓶中,它和无尘的纯水(100毫升容量瓶)同时放入恒温水槽,待用。
配制溶液也可用下法:把样品称于25毫升容量瓶中,加10毫升溶剂,溶解摇匀,用2号砂芯漏斗虑入另一个同样的容量瓶中,用少量溶剂把第一只容量瓶和漏斗中的聚合物洗至第二只容量瓶中,洗三次,务必洗净,但总体积切勿超过25毫升,然后后一只容量瓶置恒温水槽中,稀释至刻度。
4.溶液流出时间的测定
用移液管吸取10毫升溶液注入粘度计,粘度测定如前。测得溶液流出时间。然后再移入5毫升溶剂,这时粘度计内溶液浓度是原来的,将它混合均匀,并把溶液吸至a线上方的球一半,洗二次,再用同法测定。同样操作再加入5、10、10毫升溶剂,分别测得、、填入下表:
试样 : 溶剂: 浓度: 粘度计号码: 恒温:
| |
流出时间(秒) |
ηr |
lnηr |
lnηr/c |
ηsp |
ηsp/c |
|
一 |
二 |
三 |
平均 |
未校 |
校正 |
未校 |
校正 |
未校 |
校正 |
未校 |
校正 |
未校 |
校正 |
|
t0 t1(c=c0) t2(c= c0) t3(c= c0) t4(c= c0) t5(c= c0) |
|
|
|
|
|
|
|
|
|
|
|
|
|
|
|
| |
| |
| |
| |
| |
* “未校”指由式(9)计算;“校”指由式(8)计算。
五、实验记录与数据处理:
1.“外推法”:
为作图方便,设溶液初始浓度为,其真实浓度 ,依次加入5、5、10、10毫升溶剂稀释后相对浓度各为、计算填入表内。作 对图时,可以坐标纸12格为相对浓度横坐标,则其它各点就相应与8、6、4、3格处。外推得到截距A,那么:特性粘数=截距A/初始浓度
式中,如果已知K= ;= ;那么=

、、值的图解
2.“一点法”:由图可知:
(14)
(15)
代入,则式(14)、(15)写成:
(16)
(17)
将式(16)、(17)分别和式(1)、(2)比较,并且已知,则得:
,
根据和值情况,选用公式(12)或(13)计算的值,并和“外推法”比较。
六、思考题
1.高分子分子量的特点?如何控制高分子的分子量?
2.高分子分子量的测定方法?
实验六、聚甲基丙烯酸甲酯温度—形变曲线的测定
一、目的要求
1.通过聚甲基丙烯酸甲酯温度—形变曲线的测定,了解所合成聚合物在受力情况下的形变特征。
2.掌握温度—形变曲线的测定方法及玻璃化转变温度Tg的求取。
二、实验原理
当线形非晶态聚合物在等速升温条件下,受到恒定外力作用时,在不同的温度范围内表现出不同的力学行为,这是高分子链在运动单元上的宏观体现,处于不同行为的聚合物,因为提供的形变单元不同,其形变行为也不同。对于同一种聚合物材料,由于相对分子量不同,它们的温度-形变曲线也是不同的。随着聚合物相对分子质量的增加,曲线向高温方向移动。温度形变曲线的测定同样也受到各种操作因索的影响,主要是升温速率、载荷大小、及样品尺寸。一般来说,升温速率增大,Tg向高温方向移动。这是因为力学状态的转变不是热力学的相变过程,而且升温速率的变化是运动松弛所决定的。而增加载荷有利于运动过程的进行,因此Tg就会降低。温度—形变曲线的形态及各区域的大小,与聚合物的结构及实验条件有密切关系,测定聚合物温度—形变曲线对估计聚合物使用温度的范围,制定成型工艺条件,估计相对分子质量的大小,配合高分子材料结构研究有很重要的意义。
三、实验仪器与材料
德国XWK-500B型热机分析仪
四、实验步骤
1.制样 本实验样品为直径4.5mm,厚6mm的圆柱形样品,所制得的样品以保证上下两个平面完全平行。
2.压缩、针入度试验:首先将压缩试验室放入吊筒内,把升降架探出的测温探头对正插入试验室内,把吊筒缩紧在升降试架上,保证吊筒对正高温炉体内中心孔。摇动升降手轮,使吊筒进入炉体内,锁紧升降试架。把测量杆压头穿入升降试架上方孔内,同时把传感器托片对正传感器压头,紧固在测量杆压头上。调整螺旋测微仪,恒温后放上所需砝码进行试验。一个试验作完后,松开升降试架手柄,摇动升降手轮,使吊筒提出炉外,再更换另一个试样,进行下一个试验。
3. 打开计算机,在计算机控制桌面上用鼠标左键双击XWJ-500B图标,进入本实验系统,此时计算机屏幕上会出现“欢迎您使用XWJ-500B热机分析仪’’滚动显示。
4.输入密码:进入到用户管理界面后,用户既可对本试验操作。(1)在试验的种类“试验方法’’窗口中选择本次试验的种类“压缩”。(2)在“试验尺寸”窗口中选择本次试验的试样尺寸。(3)在“载荷选配表”窗口中选择本次试验的砝码质量并加载到试验架上。(4)速率的设定:根据试验方法来选择升、降温速率。升温速率:0.5—5℃/min,之间任意设定。降温速率:-0.5—2℃/min之间任意设定。(5)根据试验的经验值设定升温的上限温度和下限温度。(6) 变形量的选择:根据试验的理论值来设置变形量,其中膨胀变形的最大值为0.5mm。(7)试验架位移传感器的调零:当开始调零或膨胀试验调零不在零点附近时,调整试验架的位移传感器,使之在零点附近。(8)当上述参数设置完成后,单击“开始试验”按钮,稍后即开始试验,开始后会出现两个界面,即温度一变形曲线和时间一温度曲线。(9)打印报告:当试验完成后,蜂鸣器报警,用户必须在“试验”菜单下选择消音按钮来解除报警。在“试验’’菜单下选择“打印”按钮, 即弹出打印试验报告报表,用户根据报告提示输入要求的内容,连结好打印机,选择“确定’’按钮,即可打印报告和试验的变形曲线。
五、实验记录与数据处理
1.根据温度—形变曲线,求出转变温度。
2.将所得的温度—形变曲线转换为模量-温度曲线。
六、思考题
1.实验中影响玻璃化温度的主要因素是什么?
2.画出高相对分子质量、低结晶聚合物的温度-形变曲线。
实验七、热变形温度及维卡软化点的测定
一、实验目的
1.学会使用热变形温度-维卡软化点测定仪。
2.了解塑料在受热情况下变形温度测定的物理意义。
3.掌握塑料的维卡软化点的测试方法。测定PP、PS等试样的维卡软化点。
二、实验原理
塑料试样浸在一个等速升温的液体传热介质中(甲基硅油),在简支架式的静弯曲负载作用下,试样达到规定形变量值时的温度,为该材料的热变形温度(HDT)。
聚合物的耐热性能,通常是指它在温度升高时保持其物理机械性质的能力。聚合物材料的耐热温度是指在一定负荷下,其到达某一规定形变值时的温度。发生形变时的温度通常称为塑料的软化点。因为使用不同测试方法各有其规定选择的参数,所以软化点的物理意义不像玻璃化转变温度那样明确。常用维卡耐热和马丁耐热以及热变形温度测试方法测试塑料耐热性能。不同方法的测试结果相互之间无定量关系,它们可用来对不同塑料做相对比较。
维卡软化点是测定热塑性塑料于特定液体传热介质中,在一定的负荷,一定的等速升温条件下,试样被1mm2针头压入1mm时的温度。本方法仅适用于大多数热塑性塑料。
实验测得的热变形温度和维卡软化点仅适用于控制质量和作为鉴定新品种热性能的一个指标,不代表材料的使用温度。
三、实验仪器与材料
1.仪器
本实验采用XRW-300ML热变形温度-维卡软化点测定仪。热变形温度测试装置原理如图所示。加热浴槽选择对试样无影响的传热介质-甲基硅油,室温时粘度较低。可调等速升温速度为(120±10)℃/h。两个试样支架的中心距离为100mm,在支架的中点能对试样施加垂直负载,负载杆的压头与试样接触部分为半圆形,其半径为(3±0.2)mm。实验时必须选用一组大小适合的砝码,使试样受载后的最大弯曲正应力为18.5kg/cm2或4.6 kg/cm2。应加砝码的质量由下式计算:
W=(2σbh2/3L)-R-T
式中σ:试样最大弯曲正应力(18.5kg/cm2或4.6 kg/cm2);
b:试样宽度,若为标准试样,则试样宽度为10mm;
h:标准试样高15mm,若不是标准试样,则需测量试样的真实宽度及高度;
L:两支座中间的距离100mm;
R:负载杆及压头的质量;
T:变形测量装置的附加力。
对于本实验所用热变形温度-维卡软化点测定仪,其负载杆等重及附加力(R+T)为0.088kg。测量形变的位移传感器精度为±0.01mm。

热变形温度实验装置示意
维卡软化点温度测试原理如下图所示。负载杆压针头长3~5mm,横截面积为(1.000+0.015)mm2,压针头平端与负载杆成直角,不允许带毛刺等缺陷。加热浴槽选择对试样无影响的传热介质-甲基硅油,室温时粘度较低。可调等速升温速度为(50±5)℃/h,试样承受的静负载G=W+R+T(其中,W为砝码质量;R为压针及负载杆的质量;T为变形测量装置附加力),本实验装置R+T为0.088kg。负载有两种选择:GA=1kg;GB=5kg。测量形变的位移传感器精度为±0.01mm。

维卡软化点实验装置示意
2.试样
热变形温度测定实验中,试样为截面是矩形的长条,试样表面平整光滑,无气泡,无锯切痕迹或裂痕等缺陷。其尺寸规定如下。
(1)模塑试样:长L=120mm,高h=15mm,宽b=10mm。
(2)板材试样:长L=120mm,高h=15mm,宽b=3~13mm(取板材原厚度)。
(3)特殊情况下,可以用长L=120mm,高h=9.8~15mm,宽b=3~13mm,中点弯曲变形量必须用下表规定值。每组试样最少两个。
试样高度与相应变形量要求
试样高度h/mm |
相应变形量/mm |
试样高度h/mm |
相应变形量/mm |
9.8~9.9 |
0.33 |
12.4~12.7 |
0.26 |
10~10.3 |
0.32 |
12.8~13.2 |
0.25 |
10.4~10.6 |
0.31 |
13.3~13.7 |
0.24 |
10.7~11.0 |
0.30 |
13.8~14.1 |
0.23 |
11.0~11.4 |
0.29 |
14.2~14.6 |
0.22 |
11.5~11.9 |
0.28 |
14.7~15.0 |
0.21 |
12.0~12.3 |
0.27 |
|
|
维卡实验中,试样厚度为3~6.5mm,宽和长至少为10mm×10mm,或直径大于10mm。试样的两面平行,表面平整光滑、无气泡、无锯齿痕迹、凹痕或裂痕等缺陷。每组试样为两个。
模塑试样厚度为3~4mm。板材试样厚度取板材厚度,但厚度超过6mm时,应在试样一面加工成3~4mm。如厚度不足3mm时,则可由不超过3块叠合成厚度大于3mm。
四、实验步骤
1.安装压针或压头。
2.接通电源,按下电源按钮,电源指示灯亮。
3.进行主试样的安放,并进行载荷计算和加载。
4.设定升温速率和温度上限。
5.千分表调零后,打开搅拌电机使介质均匀加热,然后启动试验。
6.需要重新启动或重新设置参数时,按“复位”键。
7.在实验过程中,当试样到达指定变形量后,记录数据。
8.试验结束后立即把试样取出,以免试样融化或掉在介质箱中。
9.按“读”键,查询试验数据,并计算其平均值。
实验八、氧指数测定
一、实验目的
1.了解高分子材料氧指数测定的基本原理与方法,以及影响因素;
2.测定几种常见高分子材PMMA、PS、PVC等塑料的氧指数
二、实验原理
氧指数Oxygen Index,是通入23℃±2℃的氮氧混合气体时,刚好维持材料燃烧所需要的氧浓度。物质燃烧时,需要消耗大量的氧气,不同的可燃物,燃烧时需要消耗的氧气量不同,通过对物质燃烧过程中消耗最低氧气量的测定,计算出物质的氧指数值,可以评价物质的燃烧性能。所谓氧指数(Oxygen index),是指在规定的试验条件下,试样在氧氮混合气流中,维持平稳燃烧(即进行有焰燃烧)所需的最低氧气浓度,以氧所占的体积百分数的数值表示(即在该物质引燃后,能保持燃烧50mm长或燃烧时间3min时所需要的氧、氮混合气体中最低氧的体积百分比浓度)。作为判断材料在空气中与火焰接触时燃烧的难易程度非常有效。一般认为,OI<27 的属易燃材料,27≤oi<32的属可燃材料,oi≥32的属难燃材料。hc-2型氧指数测定仪,就是用来测定物质燃烧过程中所需氧的体积百分比。该仪器适用于塑料、橡胶、纤维、泡沫塑料及各种固体的燃烧性能的测试,准确性、重复性好,因此普遍被世界各国所采用。<>
三、实验仪器与材料
HC-2型氧指数测定仪由燃烧筒、试样夹、流量控制系统及点火器组成(见下图)。
燃烧筒为一耐热玻璃管,高450mm,内径75~80mm,筒的下端插在基座上,基座内填充直径为3~5mm的玻璃珠,填充高度100mm,玻璃珠上放置一金属网,用于遮挡燃烧滴落物。试样夹为金属弹簧片,对于薄膜材料,应使用140 mm×38mm的U型试样夹。流量控制系统由压力表、稳压阀、调节阀、转子流量计及管路组成。流量计最小刻度为0.1l/min。点火器是一内径为1~3mm的喷嘴,火焰长度可调,试验时火焰长度为10mm。

1—点火器;2—玻璃燃烧筒;3—燃烧着的试样;4—试样夹;5—燃烧筒支架;6—金属网;7—测温装置;8—装有玻璃珠的支座;9—基座架;10—气体预混合结点;11—截止阀;12—接头;13—压力表;14—精密压力控制器;15—过滤器;16—针阀;17—气体流量计。
四、实验步骤
1.检查气路,确定各部分连接无误,无漏气现象。
2.确定实验开始时的氧浓度:根据经验或试样在空气中点燃的情况,估计开始实验时的氧浓度。如试样在空气中迅速燃烧,则开始实验时的氧浓度为18%左右;如在空气中缓慢燃烧或时断时续,则为21%左右;在空气中离开点火源即马上熄灭,则至少为25%。根据经验,确定该地板革氧指数测定实验初始氧浓度为26%。氧浓度确定后,在混合气体的总流量为10l/min的条件下,便可确定氧气、氮气的流量。例如,若氧浓度为26%,则氧气、氮气的流量分别为2.5l/min和7.5l/min。
3.安装试样:将试样夹在夹具上,垂直地安装在燃烧筒的中心位置上(注意要划50mm标线),保证试样顶端低于燃烧筒顶端至少100mm,罩上燃烧筒(注意燃烧筒要轻拿轻放)。
4.通气并调节流量:开启氧、氮气钢瓶阀门,调节减压阀压力为0.2~0.3MPa,然后开启氮气和氧气管道阀门(在仪器后面标注有红线的管路为氧气,另一路则为氮气,应注意:先开氮气,后开氧气,且阀门不宜开得过大),然后调节稳压阀,仪器压力表指示压力为0.1±0.01MPa,并保持该压力(禁止使用过高气压)。调节流量调节阀,通过转子流量计读取数据(应读取浮子上沿所对应的刻度),得到稳定流速的氧、氮气流。检查仪器压力表指针是否在0.1Mpa,否则应调节到规定压力,O2+N2压力表不大于0.03Mpa或不显示压力为正常,若不正常,应检查燃烧柱内是否有结炭、气路堵塞现象;若有此现象应及时排除使其恢复到符合要求为止。应注意:在调节氧气、氮气浓度后,必须用调节好流量的氧氮混合气流冲洗燃烧筒至少30s(排出燃烧筒内的空气)。
5.点燃试样:用点火器从试样的顶部中间点燃(点火器火焰长度为1-2cm),勿使火焰碰到试样的棱边和侧表面。在确认试样顶端全部着火后,立即移去点火器,开始计时或观察试样烧掉的长度。点燃试样时,火焰作用的时间最长为30s,若在30s内不能点燃,则应增大氧浓度,继续点燃,直至30s内点燃为止。
6.确定临界氧浓度的大致范围:点燃试样后,立即开始记时,观察试样的燃烧长度及燃烧行为。若燃烧终止,但在1s内又自发再燃,则继续观察和记时。如果试样的燃烧时间超过3min,或燃烧长度超过50mm(满足其中之一),说明氧的浓度太高,必须降低,此时记录实验现象记“×”,如试样燃烧在3min和50mm之前熄灭,说明氧的浓度太低,需提高氧浓度,此时记录实验现象记“Ο”。如此在氧的体积百分浓度的整数位上寻找这样相邻的四个点,要求这四个点处的燃烧现象为“ΟΟ××”。例如若氧浓度为26%时,烧过50mm的刻度线,则氧过量,记为“×”,下一步调低氧浓度,在25%做第二次,判断是否为氧过量,直到找到相邻的四个点为氧不足、氧不足、氧过量、氧过量,此范围即为所确定的临界氧浓度的大致范围。
7.在上述测试范围内,缩小步长,从低到高,氧浓度每升高0.4%重复一次以上测试,观察现象,并记录。
8.根据上述测试结果确定氧指数OI。
五、实验记录与数据处理
1.实验数据记录
实验次数 |
1 |
2 |
3 |
4 |
5 |
6 |
7 |
8 |
氧浓度,% |
|
|
|
|
|
|
|
|
氮浓度,% |
|
|
|
|
|
|
|
|
燃烧时间(s) |
|
|
|
|
|
|
|
|
燃烧长度(mm) |
|
|
|
|
|
|
|
|
燃烧结果 |
|
|
|
|
|
|
|
|
说明:第二、三行记录的分别是氧气和氮气的体积百分比浓度(需将流量计读出的流量计算为体积百分比浓度后再填入)。第四、五行记录的燃烧长度和时间分别为:若氧过量(即烧过50mm的标线),则记录烧到50mm所用的时间;若氧不足,则记录实际熄灭的时间和实际烧掉的长度。第六行的结果即判断氧是否过量,氧过量记“×”,氧不足记“Ο”。
2.数据处理
根据上述实验数据计算试样的氧指数值OI,即取氧不足的最大氧浓度值和氧过量的最小氧浓度值两组数据计算平均值。
实验注意事项
1.试样制作要精细、准确,表面平整、光滑。
2.氧、氮气流量调节要得当,压力表指示处于正常位置,禁止使用过高气压,以防损坏设备。
3.流量计、玻璃筒为易碎品,实验中谨防打碎。
六、思考题
1.什么叫氧指数值?如何用氧指数值评价材料的燃烧性能?
2.HC-2型氧指数测定仪适用于哪些材料性能的测定?如何提高实验数据的测试精度?